•
•·›
·
•
·

IHE系列(lie)化工(gong)流程(cheng)泵,化(hua)工流(liu)程泵(beng),化工(gong)流程(cheng)泵設(she)備廣(guang)泛用(yong)🏃🏿♀️➡️于化(hua)🧎🏻♀️➡️工。
服(fu)務熱(re)線: 立(li)即咨(zi)詢産(chan)品簡(jian)介
IHE系(xi)列化(hua)工流(liu)程泵(beng)是單(dan)級單(dan)吸懸(xuan)臂式(shi)離心(xin)泵,其(qi)标🔞{己(ji)🧑🏽❤️💋🧑🏻性能(neng)👺和尺(chi)寸符(fu)合GB5662-85《軸(zhou)向吸(xi)入離(li)心泵(beng)(16bar)标id、性(xing)能和(he)尺寸(cun)》,等同(tong)采用(yong)IS02858-1984标😸準(zhun)。制💘造(zao)技術(shu)采用(yong)IS0S199-86.IHE系列(lie)化工(gong)流程(cheng)泵,化(hua)工流(liu)程泵(beng),化工(gong)流程(cheng)泵設(she)備廣(guang)泛用(yong)于化(hua)工。化(hua)肥。電(dian)力。冶(ye)金。造(zao)紙。制(zhi)藥、台(tai)成纖(xian)維等(deng)行業(ye),在磷(lin)複肥(fei)行業(ye)中主(zhu)要應(ying)用于(yu)循環(huan)水、給(gei)料泵(beng)、污水(shui)泵、母(mu)液泵(beng)、硫酸(suan)泵等(deng)工位(wei),輸送(song)不舍(she)顆粒(li)的腐(fu)蝕性(xing)介質(zhi),或不(bu)允許(xu)有污(wu)染的(de)介質(zhi)
性能(neng)範圍(wei)
流量(liang)3 4~460mVh
溫度(du):-30℃ - 150℃,特殊(shu)可達(da)180℃
揚程(cheng):3.6~132m
設計(ji)壓力(li):1.6Mpa
型号(hao)說明(ming)

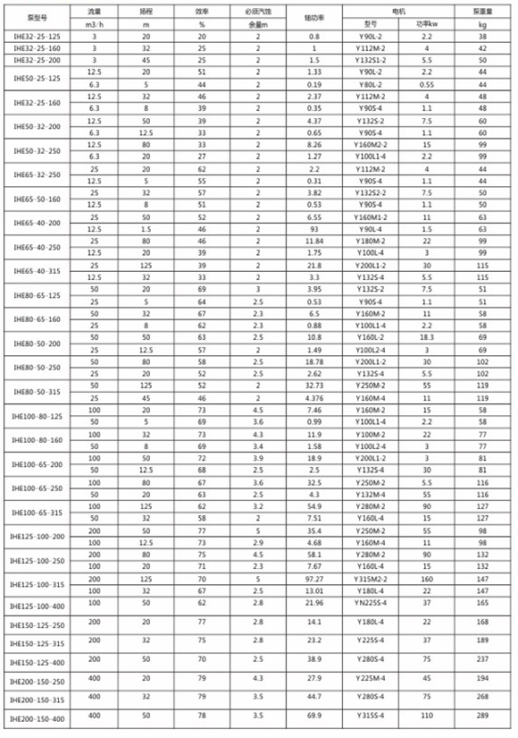
IHE系列(lie)參數(shu)表

IHE結(jie)構特(te)點

(1)泵(beng)體;(2)葉(ye)輪螺(luo)母;(3)葉(ye)輪件(jian);(4)泵蓋(gai);(5)密封(feng)部件(jian);(6)中間(jian)支架(jia);(7)軸;(8)懸(xuan)🛀🏼架部(bu)件
IHE泵(beng)軸加(jia)粗,剛(gang)性好(hao),運行(hang)平穩(wen);
采用(yong)後拉(la)式結(jie)構,帶(dai)中間(jian)節膜(mo)片聯(lian)軸器(qi),維修(xiu)時不(bu)用拆(chai)卸泵(beng)體,電(dian)機,管(guan)線;
軸(zhou)封可(ke)選用(yong)填料(liao)密封(feng),内裝(zhuang)及外(wai)裝式(shi)單端(duan)面機(ji)械密(mi)封雙(shuang)端面(mian)機械(xie)密;
新(xin)安裝(zhuang)的管(guan)線應(ying)沖洗(xi)幹淨(jing),如介(jie)質易(yi)結晶(jing),要定(ding)期沖(chong)洗機(ji)械🏊🏿♀️密(mi)封;
停(ting)車後(hou)和重(zhong)新啟(qi)動前(qian)部應(ying)将密(mi)封面(mian)沖洗(xi)幹淨(jing)。
過流(liu)部件(jian)材質(zhi)
過流(liu)部件(jian)材質(zhi)ifiCr18Ni9Ti、C4、304、304L. M02Ti、904(U86)、20#台金(jin)、CD4MCu等材(cai)料,軸(zhou)it2205、316L、304等材(cai)質。
•
•·›
·
•
·